
1. Tá soilse fáis coiréil ina bhfuil 24/7 uathoibríoch ar/as: solas bán oráiste agus sáile de réir a chéile (éirí gréine) ó 6 rn go 8 rn (oiriúnach do choiréil). Solas bán de réir a chéile sáile + solas bán RGB ó 8 rn go 10 pm/10 pm (oiriúnach do choiréil). Solas gorm aonair (solas na gealaí) ó 10 pm/10 pm go 10:30 pm/10: 30 pm (tá an gnáthsholas gorm neamhéifeachtach do choiréil). Tá na soilse as le linn tréimhsí ama eile. Is féidir moill a chur ar na tréimhsí ama réamhshocraithe foriomlána nó chun cinn.
Tá foireann ghairmiúil T&F againn do sheirbhísí OEM/ODM.
Is féidir linn táirgí a shaincheapadh duitse go heisiach, agus tá fáilte romhat cuairt a thabhairt ar ár monarcha chun do chuid earraí a iniúchadh feadh na líne táirgthe. Nuair a bhíonn ár dtáirgí de dhíth ort, is féidir linn samplaí saor in aisce a sholáthar chun tástála. Tar éis duit tástáil a dhéanamh, is féidir leat ordú a chur ar na táirgí atá uait. De ghnáth tógann an seachadadh thart ar 3 lá do tháirgí caighdeánacha agus 7-15 lá do tháirgí saincheaptha. Tá loingseoireacht dhomhanda ar fáil.


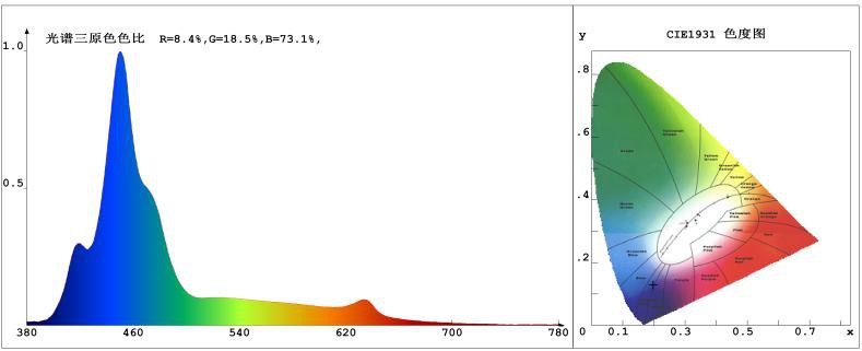
Paraiméadair Chroma
Chro.coor: x =0.1974 y {=0.1286 u {=0.1904 v =0.1860 duv =-0.0293
CCT: 100000K Tonn ceannasach: 464.1nm íonacht: 69.3% Tonn Ionad: 453.0nm
Cóimheas flux rgb: r =11.0%, g =69.48, b =19.68 buaic -tonn: 449.6nm leath leithead: 33.3nm
Innéacs rindreála: ra =54.4 cri=60.3
R1 =88 R2 =44 R3 =8 R4 =48 R5 =92 R6 =49 R7 =45 R8 =61
R9 =92 R10=-31 R11=47 R12=27 R13=66 R14=54 R15=79
Innéacs Fidelity ((rf) =83.4 innéacs gamut (rg) =114.0
Paraiméadair grianghraf
Flux: 1991.81lm Effi: 19.51m/w radiant: 14661.2MW IV: 0.0MCD
Éifeachtúlacht: 0.41 Leibhéal Effi: B (AE 874-2012)
Ceisteanna CCanna
C: 1. Cén cineál sliseanna LED a úsáideann tú?
A: Bainimid úsáid as sceallóga Sanan go heisiach, agus as soilse mara, bainimid úsáid as sliseanna Cree dáiríre. Tá sonraisc ar fáil lena bhfíorú.
C: Cad iad na seirbhísí OEM/ODM a thairgeann tú?
A: Tá ár meaisíní greanta léasair féin, meaisíní priontála scáileáin, agus meaisíní aistrithe againn. Is féidir linn cúnamh deartha grafach gairmiúil a sholáthar do bhoscaí datha agus foireann innealtóireachta a bheith againn chun comhoibriú ar fhorbairt táirgí nua.
C: Cad iad na cliaint a bhfuil tú ag comhoibriú leo?
A: Tá os cionn 80 tír ar fud an domhain ag ár gcliaint, ag freastal ar chliaint éagsúla B2B.
C: Cad é mar atá caighdeán do tháirgí?
A: Déantar 48 uair an chloig de thástáil aosaithe gach táirge. Déantar IQC agus OQC go docht de réir na gcaighdeán cáilíochta idirnáisiúnta, agus táimid deimhnithe ag ISO 9001.
Clibeanna Te: Póraitheoirí Reef faoi stiúir Soilse Aquarium, Póraitheoirí Reef na Síne faoi stiúir Monaróirí Soilse Aquarium, Soláthraithe, Monarcha
